
NovaSeq X Series ordering
Advanced chemistry, optics, and informatics combine to deliver exceptional sequencing speed and data quality, outstanding throughput, and scalability.
A single assay for comprehensive discovery of the 5-base genome (A, T, G, C, and 5mC), providing dual insights into the whole genome and methylome.
Assay time
Input quantity
Limited time offer: 25% off first kit with promo code ILMN5B25
Now through May 2026: receive 25% off your first library prep kit.
Limited quantity: 1
Illumina 5-Base DNA Prep offers simultaneous discovery of genomic variants and methylation events across the whole genome. Maximize insights from every sequencing read with an easy-to-use, cost-effective multiomic assay.
Go from sample to results in under three days with library prep completed in less than one day. Streamlined secondary analysis using 5-base DRAGEN pipelines delivers a dual readout in under an hour for a 30× genome.
Innovative 5mC-to-T base conversion and advanced analysis algorithms preserve DNA sequence complexity, enabling high alignment rates.
Simultaneously detect both methylation and genomic variants with high resolution and accuracy.
Assay time |
< 3 days DNA to data insights Library prep time* ~8 hr gDNA; ~6 hr cell-free DNA * Based on processing 24 samples manually; includes DNA shearing (if applicable), and library quantification. Normalization and pooling time not included. |
---|---|
Automation capability | Liquid handling robot(s) |
Automation details | Automation protocols are in development and will be added to the automation page when available. |
Description | One streamlined assay for comprehensive multiomic discovery of genomic variants and methylation events across the whole genome. High-quality data provides 5-base insights from the same sequencing reads, enabled by a novel enzymatic method and optimized analysis. |
Input quantity |
1–20 ng cell-free DNA 50–100 ng genomic DNA |
Instruments | NovaSeq X System, NovaSeq 6000Dx in Research Mode, NovaSeq 6000 System, NovaSeq X Plus System |
Mechanism of action | Enzymatic conversion of 5-methylcytosine to thymine, ligation-based addition of adapters and indexes, mechanical shearing of genomic DNA |
Method | Methylation sequencing, Whole-genome sequencing |
Multiplexing | Up to 384-plex |
Nucleic acid type | DNA |
Specialized sample types | Circulating tumor DNA, Blood, Low-input samples, Cell-free DNA |
Species category | Any species, Human |
Species details |
Illumina 5-base analysis software enables custom reference for analysis with species of interest. Users can upload custom reference genome to run Illumina 5-base assay/analysis. Not all species have been tested and specifications are only applicable to human samples. |
Target insert size | 450 bp for gDNA |
Variant class | Somatic variants, Differentially methylated cytosines, Germline variants, Single nucleotide variants (SNVs), Insertions-deletions (indels), Copy number variants (CNVs) |
Illumina 5-Base DNA Prep requires the use of DRAGEN secondary analysis. DRAGEN analysis can be accessed via a local DRAGEN server or the cloud through Illumina Connected Analytics or BaseSpace Sequence Hub. Illumina Connected Multiomics is available for data exploration and visualization, including differential methylation, clustering, and biological interpretation. Index adapters are sold separately through Illumina.
Illumina 5-Base DNA Prep delivers high-resolution, whole-genome detection of both DNA variants and methylation events in a single, cost-effective assay, while enabling streamlined library prep, integrated analysis, and customizable dual-omic insights from every sequencing read.
Illumina 5-Base DNA Prep
Instrument | Recommended number of samples | Read length |
---|---|---|
NovaSeq X System | Samples per flow cell: 10B: 18, 25B: 48 (based on 500M paired-end reads, 35× coverage) |
2 × 151 bp |
NovaSeq 6000 System | Samples per flow cell: S4: 18 (based on 500M paired-end reads, 35× coverage) |
2 × 151 bp |
NovaSeq 6000Dx in Research Mode | Samples per flow cell: S4: 18 (based on 500M paired-end reads, 35× coverage) |
2 × 151 bp |
Genome and methylome sequencing
Achieve simultaneous high-accuracy genome and methylome discovery in a single readout with the Illumina 5-base genome solution.
Explore the benefits of next-generation sequencing and microarrays for analyzing altered methylation patterns and other epigenetic changes in cancer.
Illumina offers solutions for epigenetic analysis. Use our tools to study epigenetic modifications and their impact on gene regulation.
Illumina 5-Base DNA Prep | Infinium MethylationEPIC v2.0 Kit | Illumina DNA Prep | Illumina DNA PCR-Free Prep | |
---|---|---|---|---|
Assay time |
< 3 days DNA to data insights Library prep time* ~8 hr gDNA; ~6 hr cell-free DNA * Based on processing 24 samples manually; includes DNA shearing (if applicable), and library quantification. Normalization and pooling time not included. |
~3-4 hr (from DNA extraction to normalized library) | ~1.5 hr | |
Automation capability | Liquid handling robot(s) | Automated array loader | Liquid handling robot(s) | Liquid handling robot(s) |
Automation details | Automation protocols are in development and will be added to the automation page when available. | Explore available automation methods | Explore available automation methods | |
Description | One streamlined assay for comprehensive multiomic discovery of genomic variants and methylation events across the whole genome. High-quality data provides 5-base insights from the same sequencing reads, enabled by a novel enzymatic method and optimized analysis. | The Infinium MethylationEPIC v2.0 BeadChip is a genome-wide methylation analysis tool with enhanced, expert-selected functional content. The kit is processed on the iScan or NextSeq 550 Systems and follows a straightforward, user-friendly workflow that does not require sample pooling and indexing. | A fast, flexible library prep workflow that accommodates an assortment of sample types and DNA input amounts, allowing access to a wide range of applications, from human to microbial whole-genome sequencing and more. | Prepare sequencing libraries for sensitive applications using a unique combination of on-bead tagmentation with PCR-free chemistry which simultaneously eliminates PCR-induced bias and reduces total library prep time to 90 minutes. |
Input quantity |
1–20 ng cell-free DNA 50–100 ng genomic DNA |
250 ng DNA | 1-500 ng DNA for small genomes (e.g. microbial), or 100-500 ng DNA for large genomes (e.g. human). (For blood and saliva, see the reference guide). | 25 ng to 300 ng |
Instruments | NovaSeq X System, NovaSeq 6000Dx in Research Mode, NovaSeq 6000 System, NovaSeq X Plus System | NextSeq 550 System, NextSeq 550Dx in Research Mode, iScan System | MiSeq System, iSeq 100 System, NextSeq 550 System, NextSeq 2000 System, NextSeq 1000 System, MiSeqDx in Research Mode, MiniSeq System, NextSeq 550Dx in Research Mode, NovaSeq X System, NovaSeq 6000 System, NovaSeq X Plus System, MiSeq i100 System, MiSeq i100 Plus System | MiSeq System, NextSeq 550 System, NextSeq 2000 System, NextSeq 1000 System, MiSeqDx in Research Mode, NextSeq 550Dx in Research Mode, NovaSeq X System, NextSeq 500 System, NovaSeq 6000 System, NovaSeq X Plus System |
Mechanism of action | Enzymatic conversion of 5-methylcytosine to thymine, ligation-based addition of adapters and indexes, mechanical shearing of genomic DNA | Bead-linked transposome | Bead-linked transposome | |
Method | Methylation sequencing, Whole-genome sequencing | Methylation array | Amplicon sequencing, Whole-genome sequencing, De novo sequencing, Shotgun sequencing | Whole-genome sequencing, De novo sequencing |
Multiplexing | Up to 384-plex | Up to 384 unique dual (UD) combinations and 96 combinatorial dual (CD) combinations | Up to 384-plex | |
Nucleic acid type | DNA | DNA | DNA | DNA |
Specialized sample types | Circulating tumor DNA, Blood, Low-input samples, Cell-free DNA | Blood, FFPE tissue | Blood, Not FFPE-compatible, Saliva | Blood, Not FFPE-compatible, Low-input samples, Saliva, Not FFPE-compatible |
Species category | Any species, Human | Human | Drosophila, Any species, Mammalian, Mouse, Yeast, Zebrafish, Human, Rat, Plant, Virus, Nematode, Bacteria | Any species, Human |
Species details |
Illumina 5-base analysis software enables custom reference for analysis with species of interest. Users can upload custom reference genome to run Illumina 5-base assay/analysis. Not all species have been tested and specifications are only applicable to human samples. |
Compatible with any species | ||
Target insert size | 450 bp for gDNA | ~350 bp | 450 bp +/- 75 bp | |
Variant class | Somatic variants, Differentially methylated cytosines, Germline variants, Single nucleotide variants (SNVs), Insertions-deletions (indels), Copy number variants (CNVs) | Differentially methylated cytosines | Single nucleotide polymorphisms (SNPs), Gene fusions, Loss of heterozygosity (LOH), Somatic variants, Chromosomal abnormalities, Germline variants, Structural variants, Insertions-deletions (indels), Copy number variants (CNVs) | Short tandem repeats (STRs), Single nucleotide polymorphisms (SNPs), Somatic variants, Chromosomal abnormalities, Germline variants, Structural variants, Insertions-deletions (indels), Copy number variants (CNVs) |
Library Prep and Array Kit Selector
Find the right sequencing library preparation kit or microarray for your needs. Filter by method, species, and more. Compare, share, and order kits.
Exceptional sequencing performance with Illumina 5-Base DNA Prep
(A) High coverage of cytosine-guanine dinucleotides (CpGs) and (B) uniform coverage across a range of GC content using Illumina 5-Base DNA Prep. Input amounts are 1–20 ng cfDNA from healthy donors and 50–100 ng gDNA from human reference sample NA12878.
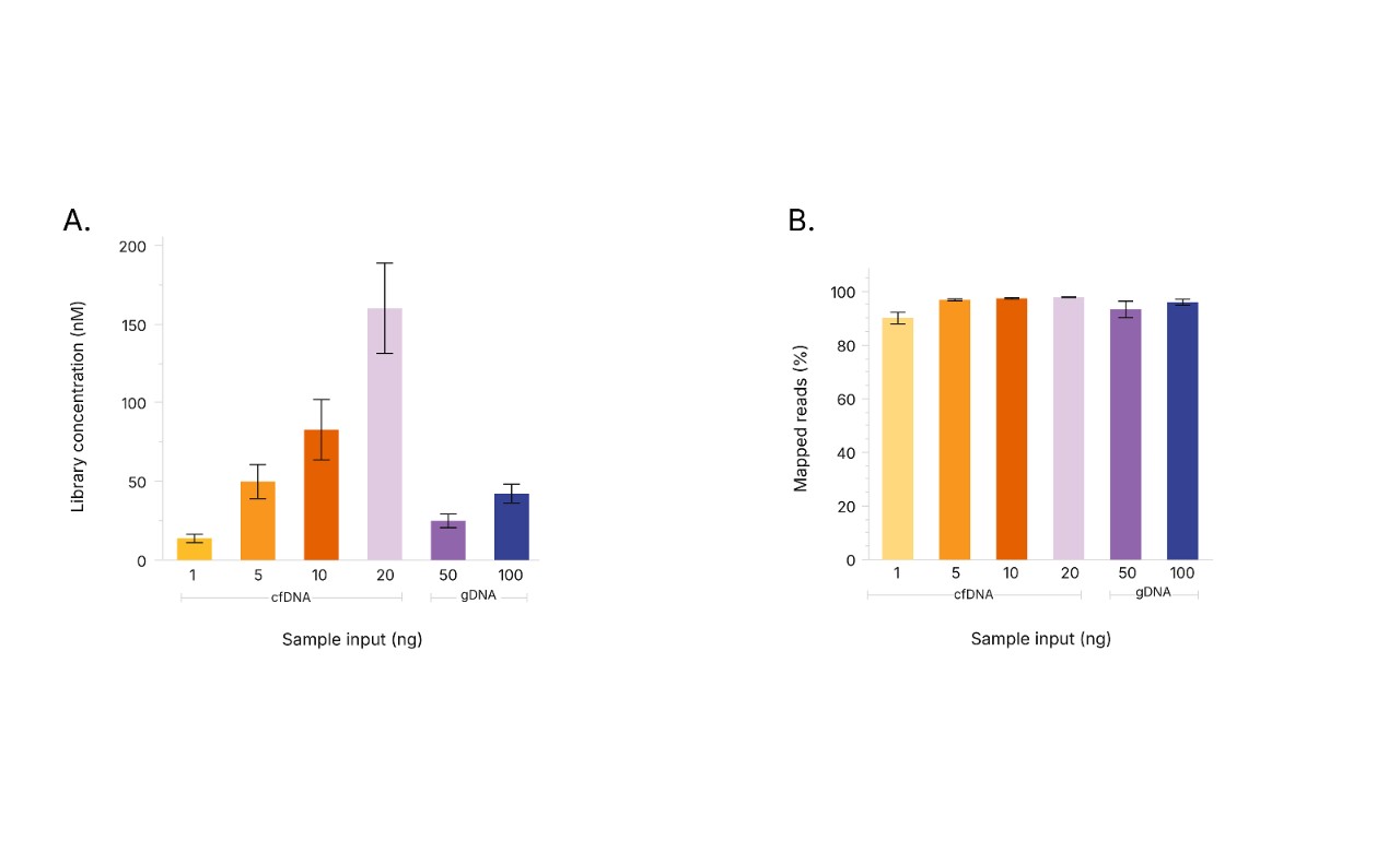
High yield and alignment rates using Illumina 5-Base DNA Prep
(A) Library yields and (B) alignment rates (percent mapped reads) using Illumina 5-Base DNA Prep for 1–20 ng inputs of cfDNA from healthy donors and 50–100 ng inputs of gDNA from human reference sample NA12878.
Methylation conversion and detection with Illumina 5-Base DNA Prep
(A) Reproducible methylation detection for all CpG island regions. Highly selective 5mC conversion measured by small genome control spike-ins (B) methylated pUC and (C) unmethylated lambda. Input amounts are 1–20 ng cfDNA from healthy donors and 50–100 ng gDNA from human reference sample NA12878.
High-accuracy germline variant calling with Illumina 5-Base DNA Prep
(A) Single nucleotide variant (SNV) and (B) insertion-deletion (indel) germline variant calling using Illumina 5-Base DNA Prep for 50–100 ng inputs of gDNA from human reference sample NA12878. (C) Germline CNV calling accuracy by variant size from Genome in A Bottle sample HG002.
Traditional methylation sequencing methods | Illumina 5-base solution |
---|---|
Challenges |
Benefits |
|
|
Decode DNA and methylation together with the Illumina 5-base solution
Join Fiona Kaper, VP and Head of Assay R&D at Illumina, as she discusses the innovative 5-base solution that simplifies and scales multiomic analysis. Discover how Illumina 5-base chemistry enables dual genomic and epigenomic insights in one assay, providing genetic variant and DNA methylation data with exceptional accuracy, simplicity, and scale.
An introduction to the Illumina 5-base solution
A streamlined, end-to-end NGS library prep and analysis workflow for simultaneous methylation profiling and high-accuracy genetic variant calling.
Illumina® 5-Base DNA Prep (24 Samples)
20140364
Includes library prep and methylation detection reagents for preparing 24 libraries manually. Analyze data on the cloud using DRAGEN apps on Illumina Connected Analytics or BaseSpace Sequence Hub or on-premise with DRAGEN Server. Perform data visualization using Illumina connected Multiomics (option). Purchase indexes separately.
List Price:
Discounts:
Illumina® Unique Dual Indexes, LT (48 Indexes, 48 Samples)
20098166
Illumina® Unique Dual Indexes, LT (48 Indexes, 48 Samples)
List Price:
Discounts:
Illumina® DNA/RNA UD Indexes Set A, Tagmentation (96 Indexes, 96 Samples)
20091654
Illumina® DNA/RNA UD Indexes Set A, Tagmentation (96 Indexes, 96 Samples) Includes 96, 10 bp indexes sufficient for labeling 96 samples. Purchase library prep and enrichment reagents and probe panels separately.
List Price:
Discounts:
Illumina® DNA/RNA UD Indexes Set B, Tagmentation (96 Indexes, 96 Samples)
20091656
Illumina® DNA/RNA UD Indexes Set B, Tagmentation (96 Indexes, 96 Samples) Includes 96, 10 bp indexes sufficient for labeling 96 samples. Purchase library prep and enrichment reagents and probe panels separately.
List Price:
Discounts:
Illumina® DNA/RNA UD Indexes Set C, Tagmentation (96 Indexes, 96 Samples)
20091658
Illumina® DNA/RNA UD Indexes Set C, Tagmentation (96 Indexes, 96 Samples) Includes 96, 10 bp indexes sufficient for labeling 96 samples. Purchase library prep and enrichment reagents and probe panels separately.
List Price:
Discounts:
Illumina® DNA/RNA UD Indexes Set D, Tagmentation (96 Indexes, 96 Samples)
20091660
Illumina® DNA/RNA UD Indexes Set D, Tagmentation (96 Indexes, 96 Samples) Includes 96, 10 bp indexes sufficient for labeling 96 samples. Purchase library prep and enrichment reagents and probe panels separately.
List Price:
Discounts:
Showing of
Product
Qty
Unit price
Product
Catalog ID
Quantity
Unit price
Illumina 5-Base DNA Prep uses a one-step enzymatic process to convert 5mC to T, yielding greater nucleotide diversity than traditional bisulfite treatment. This enhanced diversity, combined with optimized ligation-based library preparation and specialized analysis methods, enable effective detection of both 5mC and genomic variants in a single assay.
Illumina 5-Base DNA Prep enables comprehensive methylation profiling and variant detection in one simple, scalable, and affordable workflow, making it ideal for whole-genome discovery.
For methylation-focused applications, the Illumina 5-base solution requires less sequencing than standard methylation assays due to greater mapping efficiency and CpG coverage per run.
DRAGEN secondary analysis uses innovative 5-base algorithms to provide accurate annotation of both genome and methylome from a single dataset. An easy checkbox option activates methylation reporting features within DRAGEN Germline and Somatic pipelines. Illumina Connected Multiomics directly imports output files from DRAGEN secondary analysis and offers industry-proven statistical analysis methods and visualization tools for easy data exploration and deeper insights.
Reach out for information about our products and services, or get answers to questions about our technology.
Your email address is never shared with third parties.